Sustitucion Trigonometrica

 La sustitución trigonométrica es un método de integración. En lugar de sustituir usando una nueva variable que es función de x (u=f(x)), se define a x como una función trigonométrica de una nueva variable (x=f(θ)).

El método consiste en:

·         Reescribir la ecuación en términos de la variable (θ) y su diferencial (dθ)

·         Resolver la integral

·         Reescribir el resultado en términos de x

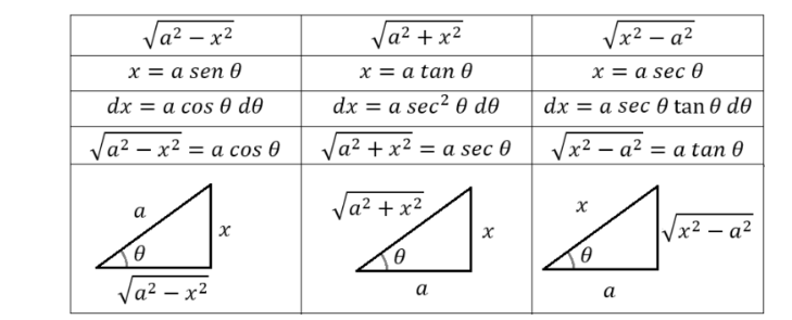
Sirve para los siguientes casos





 

En la tabla se muestra como se deben sustituir la variable x y el diferencial dx.

Después de realizar la integración es recomendable dibujar un triangulo rectángulo en donde se relacionen x, a y  θ para regresar la función a términos de x.

Ejemplo:

Hallar la siguiente integral usando el método de sustitución trigonométrica:

A) y= √(a2-x2) / x2










Moises Gomez Morales                Sustitucion Trigonometrica 


Comentarios

Entradas populares de este blog

Determinación De Máximo y Mínimo

Algebra de Conjuntos